手性之阿加曲班手性拆分
App ID: FLM-B210006
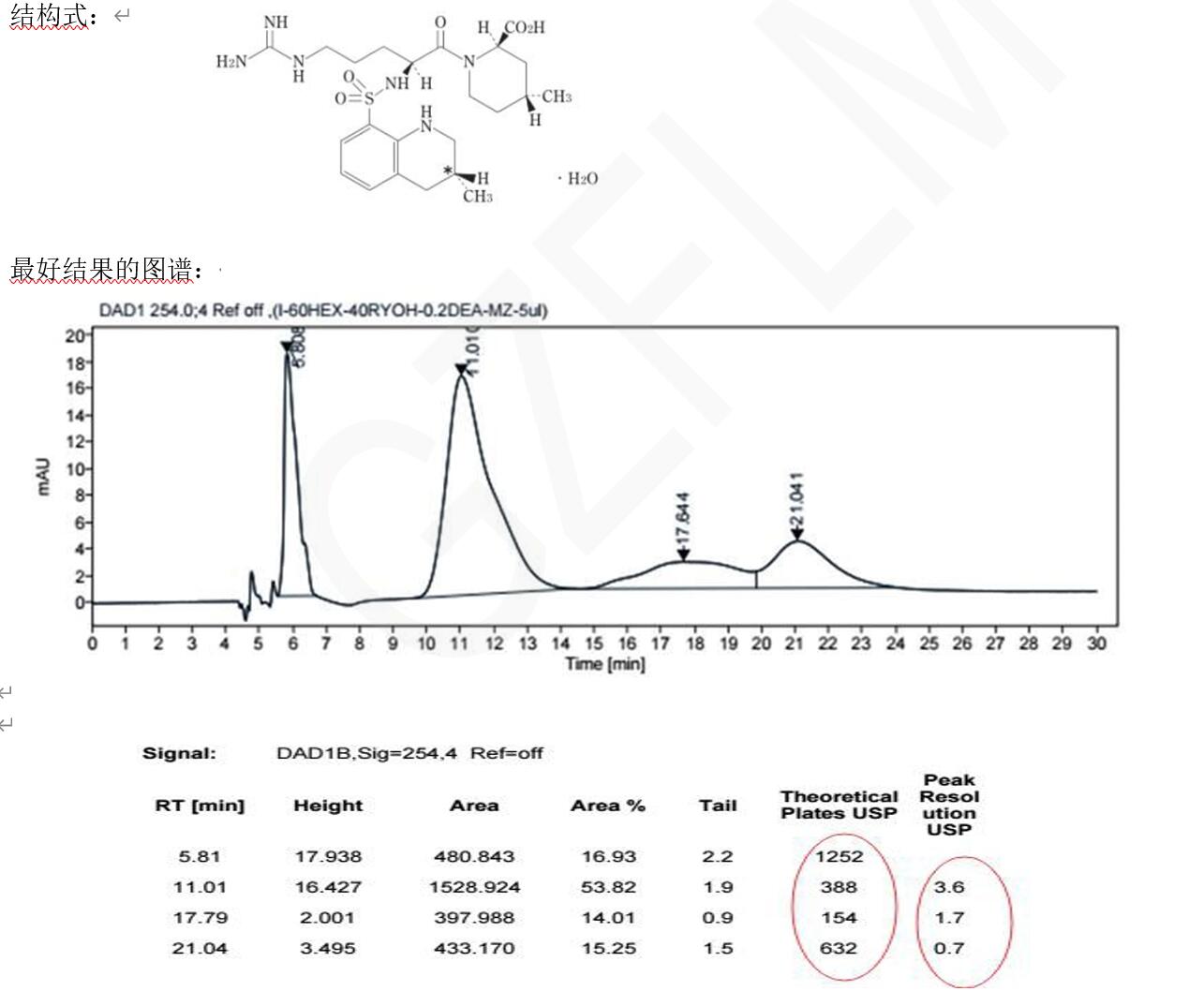
阿加曲班手性拆分
色谱柱:Chiral MZ(2) 5μ 250*4.6mm (货号:FMG-AC5-B02-NFC)
流动相:正己烷:乙醇(0.2% DEA)=60:40
柱温: 25℃
检测波长:254 nm
注:能否分开后面两个峰,建议 3μ 250*4.6mm 的 Chiral MZ(2)自行购买评估。
注:能否分开后面两个峰,建议 3μ 250*4.6mm 的 Chiral MZ(2)自行购买评估。


