众所周知亚硝胺类化合物是强致癌物,是主要要的化学致癌物之一,也是四大食品污染物之一。
继去年沸沸扬扬的沙坦类药物爆出N-亚硝基二甲胺(NDMA)基因毒性杂质,近期基因毒性杂质风波再起,2019年9月13日美国FDA发表声明在常用胃药雷尼替丁中也发现该基因毒性杂质,并紧急发布的检测的方法。
亚硝胺一时间在制药行业又搅起了不小的风浪,EMA发布了一份标题为《EMA建议药企采取步骤避免人用药物中的亚硝胺(EMA / 511347/2019)》的文件,该文件适用于所有化学合成药物,要求对亚硝胺的潜在污染进行风险评估。
亚硝胺类致癌物出现在药物杂质中,对于我们普通消费者也不必过分担忧,毕竟它也存在于我们常接触的食品中(列如腌制食品、熏制食品),而且作为药物也有严格检测的含量控制。下面我们来了解一下,有哪些方法可以检测亚硝胺类基因毒性杂质:
1、雷尼替丁中N-亚硝基二甲胺(NDMA)的检测
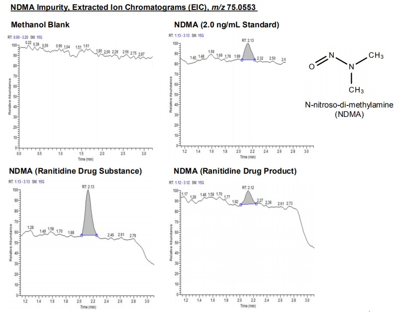
(1)美国FDA发布方法
-
中国食品药品检定研究院发布方法
色谱条件
色谱柱 ACE EXCEL 3um C18-AR 4.6x100mm (货号EXL-119-1046U)
流动相 A 0.1%甲酸水 B 0.1%甲酸乙腈
流速 0.5ml/min
柱温 30℃
梯度条件:
|
时间(分钟) |
A% |
B% |
|
0 |
95 |
5 |
|
1 |
95 |
5 |
|
3 |
80 |
20 |
|
7 |
0 |
100 |
|
9 |
0 |
100 |
|
9.1 |
95 |
5 |
|
14 |
95 |
5 |
2、亚硝胺类检测方法(ACE官方)
3.NDMA与NDEA检测(广州菲罗门)
4、亚硝胺类GC气相检测方法
亚硝胺类基因毒性杂质检测相关产品信息:
|
序号 |
货号 |
规格 |
检测物质 |
方法来源 |
|
1 |
ACE-119-1546 |
ACE 3U C18-AR 150X4.6MM |
雷尼替丁中NDMA |
美国FDA |
|
2 |
EXL-119-1546U |
ACE EXCEL 3U C18-AR 150X4.6MM |
雷尼替丁中NDMA |
美国FDA方法适用 |
|
3 |
EXL-119-1046U |
ACE EXCEL 3U C18-AR 100X4.6MM |
雷尼替丁中NDMA |
中检院 |
|
4 |
EXL-1010-1503U |
ACE EXCEL 2U C18-PFP 150X3.0MM |
NDMA等14种亚硝胺 |
ACE官方 |
|
5 |
FMF-AIRP-EONU |
Comixshell AIRP 2.7u 150X4.6MM |
NDMA、NDEA |
广州菲罗门科学仪器有限公司 |
|
6 |
FMD-AIRP-BONU |
Comixshell AIRP 2.7u 100X2.1MM |
NDMA、NDEA(MS检测器) |
广州菲罗门科学仪器有限公司 |
|
7 |
XWAX-032-150-30 |
FBX-WAX - 30m x 0.32mm x 1.50um |
8种亚硝胺 |
广州菲罗门科学仪器有限公司 |
|
8 |
MWAX-025-100-30 |
FBX-WAX MS - 30m x 0.25mm x 1.00um |
缬沙坦类中NDMA |
美国FDA方法适用 |

